Anasayfa
Kurumsal
Başkanımızın Mesajı
Tarihçemiz
Yönetim Kurulları
Vizyonumuz & Misyonumuz
Karaman OSB Bilgileri
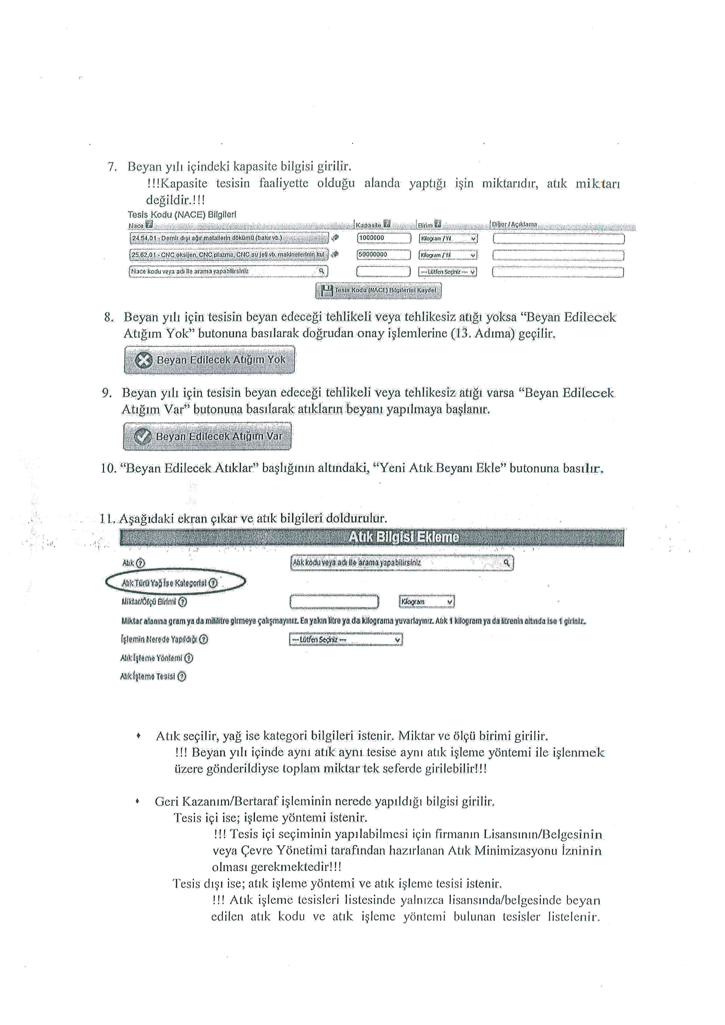
Belgeler
Yatırım Süreci
Laboratuvar
İletişim
Firmalar
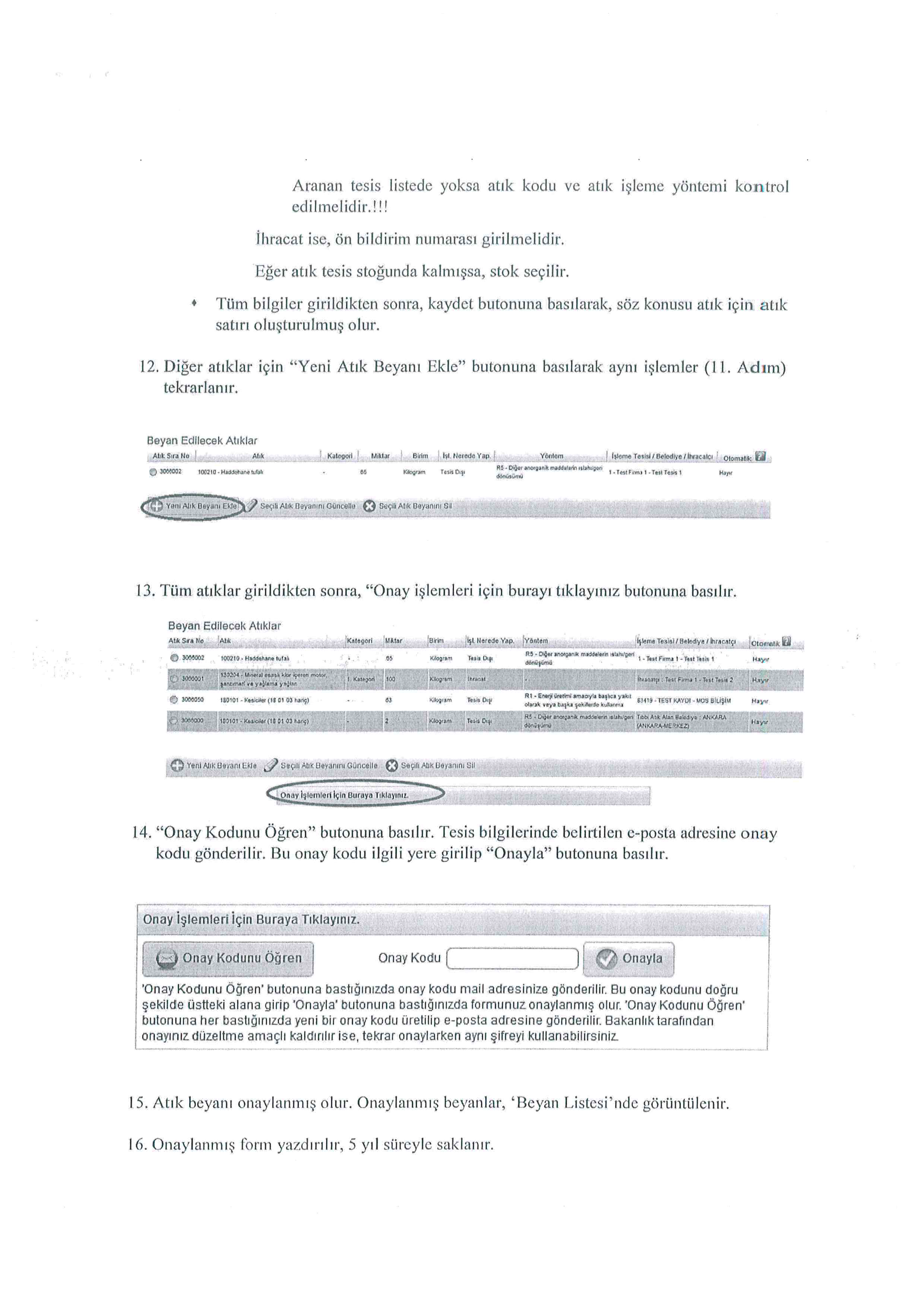
Bizden Haberler
Anasayfa
HABER
ATIKLARIN LİSANSLI FİRMALARA VERİLMESİ
ATIKLARIN LİSANSLI FİRMALARA VERİLMESİ
karamanosb
Paylaş:
AÇIK ARTIRMA USULÜ HİZMET DESTEK PARSELİ TAHSİS İHALE İLANI
Karaman OSB Atıksu Arıtma Tesisi Hizmete Açıldı
Karaman OSB Müdürlüğü’nden Ağaç Dikim Çalışması
Karaman OSB'de Kapsamlı Asfalt Serim Çalışmaları Başladı
29 Ekim Cumhuriyet Bayramı Coşkusu OSB’de
AÇIK ARTIRMA USULÜ AKARYAKIT ve LPG İSTASYONU PARSELİ TAHSİS İHALE İLANI
İhale Duyurusu – Karaman OSB Endüstriyel Atıksu Arıtma Tesisi İlave İşleri
Organize Sanayi Bölgeleri Tahsis Uygulama Rehberi (Rev.1)
KARAMAN ORGANİZE SANAYİ BÖLGE MÜDÜRLÜĞÜ İHALE İLANI
29 Ekim Cumhuriyet Bayramı Coşkusu OSB’de
KARAMAN OSB'YE YENİ İŞ MAKİNASI
POLİS HAFTASI
Karaman Organize Sanayi Bölgesi (OSB) Entegre Altyapılar Olarak Genişleme Alanı Master Planı
“ŞÜKÜR VE MUTLULUK İÇERİSİNDEYİZ”
KARAMAN SANAYİSİNDE, YENİ DÖNEMDE BAŞKAN BİR KEZ DAHA BOYNUKALIN
KARAMAN OSB YÖNETİMİNİNDEN TAZİYE MESAJI
VALİ TUNCAY AKKOYUN’DAN OSB’YE ZİYARET
“MİLLETİMİZ ÜZERİNDE KÖTÜ SENARYO YAPANLAR, ŞANLI MİLLETİMİZİN ALTINDA HER DAİM EZİLMEYE MAHKUMDUR.”
DÜNYA’NIN EN BÜYÜK GEÇİŞ GÜVENLİK SİSTEMLERİ ÜRETİCİSİ
BAŞKAN BOYNUKALIN; “HER DAİM KUCAKLAYICI OLACAĞIZ”
KARAMAN OSB’DE FAALİYETLER İSTİŞARE EDİLDİ
DİL KÜLTÜR UNSURLARINI YENİ NESİLLERE AKTARAN TAŞIYICIDIR
LAZER TEKNOLOJİSİ İLE HARİKA ÜRÜNLER ÇIKARIYOR
KARAMAN OSB YÖNETİMİ: “FİRMALARIMIZLA GURUR DUYUYORUZ”
KMÜ VE OSB YÖNETİMİ BİR ARAYA GELDİ
KARAMAN OSB , “BİFA GURURUMUZDUR”
BAŞKAN BOYNUKALIN; “SAĞLIK, BARIŞ VE MUTLULUK DİLERİZ”
1300 METRE YERİN ALTINDA BAŞLAYAN, ÇALIŞMAK VE BAŞARMAKLA GEÇEN DOLU DOLU BİR ÖMÜR
BOYNUKALIN: “YÜZYILLADIR İNSANLIĞA UMUT OLMUŞTUR”
“HOBİ DİYEREK” BAŞLADI, 8 BİN DEKARDA ÜRETTİĞİ ELMAYI DUBAİ’YE TAŞIDI
KARAMAN OSB’DEN SAĞLIK ÇALIŞANLARINA TATLI MORAL
OSB YÖNETİMİNDEN REKTÖR NAMIK AK'A HAYIRLI OLSUN ZİYARETİ
OSB YÖNETİMİNDEN VALİ IŞIK’A TEŞEKKÜR PLAKETİ
OSB ATIK SU PROJESİ İHALESİ 65 MİLYON TL'Yİ BULDU
KARAMAN OSB'DE SPOR DESTEĞİ VE YATIRIMLAR DEĞERLENDİRİLDİ
BOYNUKALIN; “HUZUR TİCARETİ, TİCARET ZENGİNLİĞİ GETİRİR”
DÜNYA’NIN YÜKSELEN YILDIZI NEFAMAK
KARAMAN OSB ÜRETİMDEN ASLA TAVİZ VERMİYOR
GELENEKSEL BAHÇECİLİKTEN MODERN ÜRETİME GEÇTİ, İHRACATTA 14 ÜLKENİN KAPISINI ARALADI
OSB’NİN KANAYAN YARASI ATIK SUYA ÇARE BULUNUYOR
OSB’NİN “BÜLTEN KARAMAN” DERGİSİ 4. SAYISINA ULAŞTI
BAŞKAN BOYNUKALIN; “BASIN ÖZGÜRLÜĞÜ, DEMOKRATİK TOPLUM DÜZENİNİN EN ÖNEMLİ GEREKLERİNDEN BİRİDİR. “
DÜNYAYI İYİ OKUYABİLEN HEYECANI OLAN GİRİŞİMCİLER, BU YENİ DÖNEMDE ÖNE ÇIKABİLECEK
KARAMAN OSB YÖNETİM KURULUNDAN BAKAN ELVAN’A TEBRİK MESAJI
30 YILDIR DÜNYAYA AÇILAN KİTLESEL LEZZETLER
KARAMAN'DA GIDA FİRMALARINDAN TATLI İKRAM
GENÇ GİRİŞİMCİLER DEPOLAMA İHTİYACINA YENİ BİR SOLUK KAZANDIRDI
KARAMAN OSB’DEN UZAKTAN EĞİTİME TABLETLİ DESTEK
İŞTE “DURU”NUN HİKAYESİ..
BELEDİYE BAŞKANI KALAYCI VE ÇALIŞMA ARKADAŞLARINDAN OSB’YE ZİYARET
BAŞKAN BOYNUKALIN; “AZ LAF, ÇOK İŞ YAPTIK YAPMAYA DEVAM EDECEĞİZ”
KARAMAN OSB YÖNETİMİ, BÜYÜK SANAYİ KURULUŞLARINI KUTLADI
“BİRLİK, BERABERLİK VE PAYLAŞMANIN ÖNEMİNİ, HER BAYRAM DAHA İYİ ANLIYORUZ.”
SOM AMBALAJ A.Ş BAŞARISINI BÖYLE ÖZETLEDİ; “KALİTE VE HİZMETE ÖNEM VEREN HER FİRMA BÜYÜYOR”
BÜLTEN KARAMAN OSB DERGİSİ 2. SAYISI ÇIKTI
OSB Yönetim Kurulu Başkanı A.Kemal Boynukalın; “BİFA, İLK 500’DEKİ YÜKSELİŞİ İLE HEPİMİZİ GURURLANDIRDI”
BAŞSAVCI İŞLEK, OSB YÖNETİM KURULU İLE BİRARAYA GELDİ
KARAMAN OSB’DE İSTİŞARE TOPLANTISI
VALİ IŞIK’TAN OSB’YE İADEYİ ZİYARET
“ÜRETİM VE İSTİHDAMI İYİ DEĞERLENDİRİRSEK, EKONOMİDE KALICI HİKAYELER YAZMAYA DEVAM EDERİZ”
YUNUS KÜÇÜKCİCİBIYIK; “ÇALIŞANI KORUDUK, ÖRNEK BİR DURUŞ SERGİLEDİK”
ÜNİVERSİTE-SANAYİ İŞBİRLİĞİ, GELECEK VAAD EDİYOR
OSB YÖNETİMİNDEN VALİ IŞIK'A HAYIRLI OLSUN ZİYARETİ
OSB MÜDÜRLÜĞÜ KORONAVİRÜS’DE BAŞARILI SINAV VERİYOR
YEŞİL OSB PROJESİ HIZ KAZANDI
KARAMAN OSB YÖNETİMİNDEN BELEDİYE BAŞKANLIĞINA TEŞEKKÜR
KARAMAN OSB YÖNETİM KURULU BAŞKANIMIZ ALİ KEMAL BOYNUKALIN'DAN RAMAZAN BAYRAMI KUTLAMA MESAJI
YÖNETİM KURULU BAŞKANIMIZ ALİ KEMAL BOYNUKALIN’DAN 19 MAYIS GENÇLİK VE SPOR BAYRAMI KUTLAMA MESAJI
ATIKLARIN LİSANSLI FİRMALARA VERİLMESİ
KARAMAN ORGANİZE SANAYİ BÖLGESİNDEN “BİZ BİZE YETERİZ TÜRKİYEM” KAMPYASINA DESTEK
KARAMAN OSB YÖNETİM KURULU BAŞKANI ALİ KEMAL BOYNUKALIN'DAN SAĞLIK ÇALIŞANLARINA TEŞEKKÜR
KARAMAN OSB MÜDÜRÜLÜĞÜNDEN KAPSAMLI TEMİZLİK ÇALIŞMASI
"OSB'LER ARI GİBİ ÇALIŞIYOR"
KİŞİ BAŞINA EN YÜKSEK OSB ARSASI DÜŞEN 7. ŞEHİR KARAMAN OLDU
OSB YÖNETİMİNDEN ASFALT HAMLESİ
Koronavirüs Enfeksiyon Riskini azaltın
BÜLTEN KARAMAN OSB, VİTRİNE ÇIKTI
KIRGIZ TİCARET HEYETİ KARAMAN'DA SANAYİCİLERLE BULUŞTU
KARAMAN OSB’DEN KAN VE KÖK HÜCRE BAĞIŞI KAMPANYASI
Karaman OSB Başkanı Kemal Boynukalın’dan 10 Ocak Çalışan Gazeteciler Günü Mesajı
“YÜCE ALLAH, SEVDİKLERİMİZLE SAĞLIKLI VE NİCE MUTLU YILLAR NASİP ETSİN”
KAMUOYUNA AÇIKLAMA
ÖZBEKİSTAN TİCARET HEYETİ KARAMAN'DA SANAYİCİLERLE BULUŞTU
KİŞİSEL VERİLERİN KORUNMASI KANUNU BİLGİLENDİRME SEMİNERİ GERÇEKLEŞTİRİLDİ
Karamanoğlu Mehmetbey Üniversitesi (KMÜ) ev sahipliğinde Kamu-Üniversite-Sanayi İşbirliği (KÜSİ) Karaman Buluşması gerçekleştirildi.
KARAMAN OSB'DEN GELECEĞE NEFES SEFERBERLİĞİNE DESTEK
BOYNUKALIN’DAN 10 KASIM ATATÜRK’Ü ANMA GÜNÜ MESAJI
BOYNUKALIN'DAN KANDİL MESAJI
Yönetim Kurulu Başkanımız Ali Kemal BOYNUKALIN 'dan 29 Ekim Cumhuriyet Bayramı Mesajı
1. ULUSAL MÜHENDİSLİK VE TEKNOLOJİ KONGRESİ, ÖZEL OTURUM İLE SONA ERDİ
ESAT ŞEN, 1. ULUSAL MÜHENDISLIK VE TEKNOLOJI KONGRESINDE KONUŞTU.
KEMAL BOYNUKALIN'DAN 'BARIŞ PINARI HAREKATI' MESAJI
ALİ KEMAL BOYNUKALIN’DAN KURBAN BAYRAMI MESAJI
BOYNUKALIN’DAN VEKİL ESER’E TEŞEKKÜR